2月8日晚间,国家联合采购办公室通过上海阳光医药采购网公布了第四批全国药品集中采购的最终中选结果。此前2月3日,国家联合采购办公室曾公布拟中选结果。
此次集采共涉及45种药品,80个品规,涉及高血压、糖尿病、消化道疾病、精神类疾病、恶性肿瘤等多种治疗领域,根据此前国家医保局公布的消息,此次集采全部采购成功,平均降价52%。
国家联合采购办公室在最新的公告中称,具体执行日期另行公告,而国家医保局于2月3日曾透露,预计全国患者将于2021年5月用上本次集采降价后的药品。
国家医保局还表示,按照常态化制度化开展药品集中带量采购工作的要求,今后,国家组织药品集中采购范围将持续扩大,进一步保障临床用药需求,确保药品质量及供应,提高患者受益面。
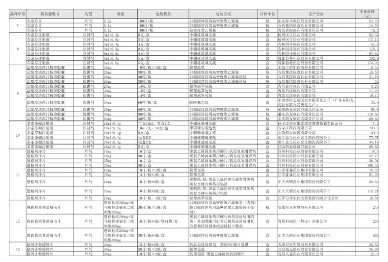
全国药品集中采购中选后供应品种清单如下:







澎湃新闻记者 李潇潇
| 头条






